Проєкт
Капітальний ремонт із заміною вікон у СЗШ №32 м. Львова
Автор
Андрейчук О.Б.
Реєстраційний номер
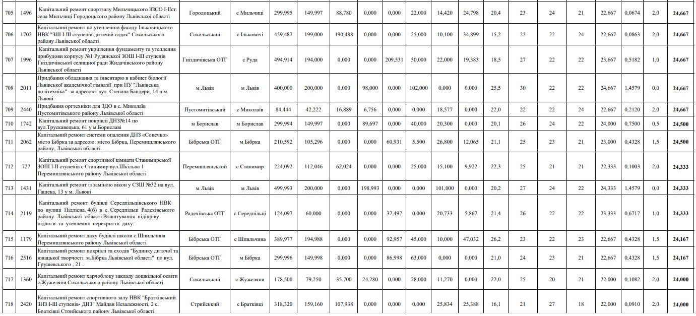
1431

Опис проблеми, на розв’язання якої спрямовано проєкт
У чотириповерховій будівлі СЗШ №32 м.Львова на вул.Я.Гашека, 13, заснованій у 1970 році, вікна замінено лише частково. Одна з актуальних проблем для всіх учасників освітнього процесу – наявність старих віконних блоків, які не мінялися 50 років – із часу будівництва закладу – і перебувають в аварійному стані. Саме вони є однією з найбільш значущих причин неефективного використання теплоносія. Через розсихання дерева та просідання скла рами не підлягають ремонту, пропускають тепло, внаслідок чого в приміщеннях школи зі старими рамами у холодну пору року значно нижча температура, ніж у тих, де вже встановлено енергозберігаючі склопакети. У дні з підвищеною швидкістю вітру температура у кабінетах зі старими рамами особливо понижується. Деформація рам, їх неспроможність втримувати належним чином скло несе загрозу життю і здоров’ю дітей, працівників, мешканців мікрорайону. Закінчення заміни дерев’яних рам на енергозберігаючі забезпечить збалансування температури в освітньому закладі, зменшення захворюваності школярів та працівників, сприятиме уникненню руйнації стін, збереженню матеріальної бази. Реалізація проєкту сприятиме підвищенню рівня енергоефективності будівлі, раціональному використанню фінансових та енергетичних ресурсів.
Очікувані результати проєкту
- встановлення віконних склопакетів загальною площею 100 м2;
- створення безпечного освітнього простору;
- збалансування температури в різних приміщеннях, забезпечення належного теплового та світлового режимів;
- збереження наявної матеріально-технічної бази;
- зменшення тепловитрат, економія бюджетних коштів;
- оновлення екстер’єру та інтер’єру закладу;
- утвердження господарського підходу до використання природних ресурсів.
Обсяг коштів та джерела його фінансування
Запланований обсяг коштів – 499 993 грн., зокрема:
- обласний бюджет – 200 тис. грн. – 40 % від загальної суми;
- місцевий бюджет (фонд розвитку міста) – 198 993 грн. – 39,799 %;
- внесок громади – 101 000 грн. – 20, 200 %.
Організації-партнери, співвиконавці проєкту
Львівська обласна рада, Львівська міська рада.

Статус проєкту
Брав участь. Підсумковий бал 24,333. Не ввійшов до списку потенційних переможців.
