Герб середньої загальноосвітньої школи №32 м.Львова

Середня загальноосвітня школа №32

Герб м. Львів
  • Головна
    • Новини
    • Про нас
      • Школа сьогодні
      • Екскурсія школою
      • Наші символи
    • Керівництво школи
    • ІНФОРМАЦІЙНА ВІДКРИТІСТЬ
      • Статут
      • Річний звіт
      • Ліцензії
      • Кадровий склад
      • Органи управління
      • Освітні програми
      • Проєктна потужність закладу
      • Фактична кількість осіб, які навчаються
      • Наявність вільних місць у класах
      • Мова навчання
      • Умови доступності
    • ЗАБЕЗПЕЧЕННЯ ЯКОСТІ
    • ВИХОВНА РОБОТА
      • Структура виховної роботи
      • Напрямки виховної роботи
      • Гуртки
      • Співпраця з позашкільними закладами, громадськими організаціями
      • Сторінка психолога
      • Заходи національно-патріотичного виховання
    • Учням
      • Режим роботи школи
      • Розклад дзвінків
      • Розклад уроків
      • Кодекс учня СЗШ №32
      • Правила поведінки здобувачів освіти
      • Розклад занять у ЦНПВ
      • Поради психолога
    • ДИСТАНЦІЙНЕ НАВЧАННЯ
      • Положення про дистанційне навчання
      • Навчання у 2024-2025 н.р.
    • Індивідуальне навчання
    • ПРОТИДІЯ БУЛІНГУ
    • ПЕДАГОГІЧНИМ ПРАЦІВНИКАМ
      • Атестація
      • Правила внутрішнього трудового розпорядку
      • Статут
      • Колективний договір
      • Річний план підвищення кваліфікації педагогічних працівників
      • Посадові інструкції
      • Поради психолога
      • Запити на навчання
      • Охорона праці
      • План роботи
      • СТРАТЕГІЯ РОЗВИТКУ
    • БАТЬКАМ
      • Батьківські збори
      • Обовязки батьків
      • Соціальний паспорт школи
      • Графік харчування учнів початкових класів
      • Шкільне меню
      • Режим груп подовженого дня
      • Гуртки
      • Територія обслуговування
      • Порядок зарахування, відрахування та переведення учнів
      • Поради психолога
      • Батьки в освітньому процесі
    • МОНІТОРИНГ
    • УЧНІВСЬКЕ САМОВРЯДУВАННЯ
      • Структура учнівського самоврядування
      • План роботи УС
      • Наші президенти
      • Діяльність
    • Проєктна діяльність
    • МІЖНАРОДНА СПІВПРАЦЯ
    • ФІНАНСОВА ДІЯЛЬНІСТЬ
      • Благодійний рахунок
      • Наказ управління освіти ДГП ЛМР №459р від 26.09.2017р.
      • Публічні закупівлі
      • Фінансова звітність
        • Фінансова діяльність у 2026 році
        • Фінансова діяльність у 2025 році
        • Фінансова діяльність у 2024 році
        • Фінансова діяльність у 2023 році
        • Фінансова діяльність у 2022 році
        • Фінансова діяльність у 2021 році
        • Фінансова діяльність у 2020 році
        • Фінансова діяльність у 2019 році
        • Фінансова діяльність у 2018 році
        • Фінансова діяльність у 2017 році
        • Фінансова діяльність у 2016 році
        • Фінансова діяльність у 2015 році
    • Вакансії
    • КОМУНІКАЦІЯ

    Актуально

    Міністерство освіти та науки України Державна служба якості освіти України Український центр оцінювання якості освіти Львівський регіональний центр оцінювання якості освіти Львівська міська рада Освіта

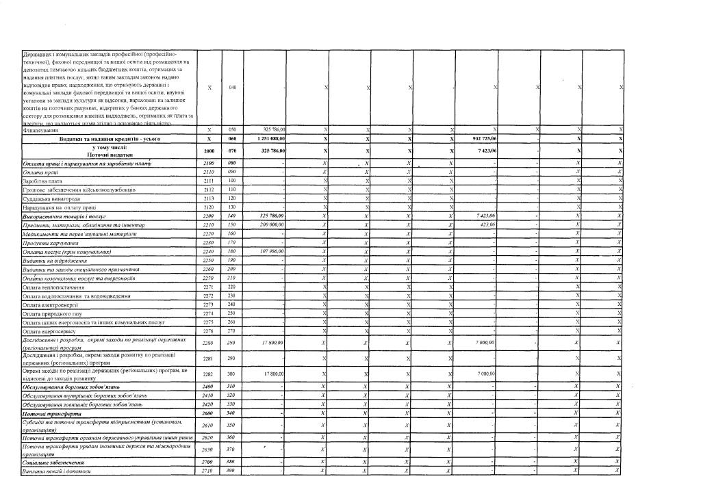
    Звітність за ІІ квартал 2021 року

    30.07.2021

    Generic selectors
    Exact matches only
    Search in title
    Search in content
    Post Type Selectors
    calendar_today

    Календар подій

      Січень

      Лютий 2026

      Березень
      Пн
      Вт
      Ср
      Чт
      Пт
      Сб
      Нд
      26
      27
      28
      29
      30
      31
      1
      Events for 1 Лютий
      Немає подій
      2
      3
      4
      5
      6
      7
      8
      Events for 2 Лютий
      Немає подій
      Events for 3 Лютий
      Немає подій
      Events for 4 Лютий
      Немає подій
      Events for 5 Лютий
      Немає подій
      Events for 6 Лютий
      Немає подій
      Events for 7 Лютий
      Немає подій
      Events for 8 Лютий
      Немає подій
      9
      10
      11
      12
      13
      14
      15
      Events for 9 Лютий
      Немає подій
      Events for 10 Лютий
      Немає подій
      Events for 11 Лютий
      Немає подій
      Events for 12 Лютий
      Немає подій
      Events for 13 Лютий
      Немає подій
      Events for 14 Лютий
      Немає подій
      Events for 15 Лютий
      Немає подій
      16
      17
      18
      19
      20
      21
      22
      Events for 16 Лютий
      Немає подій
      Events for 17 Лютий
      Немає подій
      Events for 18 Лютий
      Немає подій
      Events for 19 Лютий
      Немає подій
      Events for 20 Лютий
      Немає подій
      Events for 21 Лютий
      Немає подій
      Events for 22 Лютий
      Немає подій
      23
      24
      25
      26
      27
      28
      1
      Events for 23 Лютий
      Немає подій
      Events for 24 Лютий
      Немає подій
      Events for 25 Лютий
      Немає подій
      Events for 26 Лютий
      Немає подій
      Events for 27 Лютий
      Немає подій
      Events for 28 Лютий
      Немає подій
    archive

    Архів записів

  • Лютий 2026
  • Січень 2026
  • Грудень 2025
  • Листопад 2025
  • Жовтень 2025
  • Вересень 2025
  • Серпень 2025
  • Липень 2025
  • Червень 2025
  • Травень 2025
  • Квітень 2025
  • Березень 2025
  • Лютий 2025
  • Січень 2025
  • Грудень 2024
  • Листопад 2024
  • Жовтень 2024
  • Вересень 2024
  • Серпень 2024
  • Липень 2024
  • Червень 2024
  • Травень 2024
  • Квітень 2024
  • Березень 2024
  • Лютий 2024
  • Січень 2024
  • Грудень 2023
  • Листопад 2023
  • Жовтень 2023
  • Вересень 2023
  • Серпень 2023
  • Липень 2023
  • Червень 2023
  • Травень 2023
  • Квітень 2023
  • Березень 2023
  • Лютий 2023
  • Січень 2023
  • Грудень 2022
  • Листопад 2022
  • Жовтень 2022
  • Вересень 2022
  • Серпень 2022
  • Липень 2022
  • Червень 2022
  • Травень 2022
  • Квітень 2022
  • Березень 2022
  • Лютий 2022
  • Січень 2022
  • Жовтень 2021
  • Вересень 2021
  • Серпень 2021
  • Липень 2021
  • Травень 2021
  • Квітень 2021
  • Січень 2021
  • Жовтень 2020
  • Липень 2020
  • Травень 2020
  • Квітень 2020
  • Січень 2020
  • Жовтень 2019
  • Липень 2019
  • Травень 2019
  • Квітень 2019
  • Січень 2019
  • Жовтень 2018
  • Липень 2018
  • Травень 2018
  • Квітень 2018
  • Січень 2018
  • Жовтень 2017
  • Вересень 2017
  • Липень 2017
  • Травень 2017
  • Квітень 2017
  • Січень 2017
  • Жовтень 2016
  • Липень 2016
  • Травень 2016
  • Квітень 2016
  • Січень 2016
  • Жовтень 2015
  • Липень 2015
  • Травень 2015
  • Квітень 2015
  • Січень 2015
  • Травень 2014
  • Січень 2014
  • Травень 2013
  • Січень 2013
  • Травень 2012
  • Січень 2012
  • Травень 2011
  • Січень 2011
  • Травень 2010
  • Січень 2010
  • Травень 2009
  • Січень 2009
  • Вересень 2008
  • Травень 2008
  • Січень 2008
  • Вересень 2007
  • Травень 2007
  • Січень 2007
  • Вересень 2006
  • Травень 2006
  • up button

    Вгору

    Середня загальноосвітня школа №32 м.Львова
    Адреса:
    79031, м. Львів, вул. Я. Гашека, 13

    +38 (032) 234 53 88,  +38 (032) 234 53 95,  +38 (032) 223 26 20,  +38 (032) 223 21 89