Герб середньої загальноосвітньої школи №32 м.Львова

Середня загальноосвітня школа №32

Герб м. Львів
  • Головна
    • Новини
    • Про нас
      • Школа сьогодні
      • Екскурсія школою
      • Наші символи
    • Керівництво школи
    • ІНФОРМАЦІЙНА ВІДКРИТІСТЬ
      • Статут
      • Річний звіт
      • Ліцензії
      • Кадровий склад
      • Органи управління
      • Освітні програми
      • Проєктна потужність закладу
      • Фактична кількість осіб, які навчаються
      • Наявність вільних місць у класах
      • Мова навчання
      • Умови доступності
    • ЗАБЕЗПЕЧЕННЯ ЯКОСТІ
    • ВИХОВНА РОБОТА
      • Структура виховної роботи
      • Напрямки виховної роботи
      • Гуртки
      • Співпраця з позашкільними закладами, громадськими організаціями
      • Сторінка психолога
      • Заходи національно-патріотичного виховання
    • Учням
      • Режим роботи школи
      • Розклад дзвінків
      • Розклад уроків
      • Кодекс учня СЗШ №32
      • Правила поведінки здобувачів освіти
      • Розклад занять у ЦНПВ
      • Поради психолога
    • ДИСТАНЦІЙНЕ НАВЧАННЯ
      • Положення про дистанційне навчання
      • Навчання у 2024-2025 н.р.
    • Індивідуальне навчання
    • ПРОТИДІЯ БУЛІНГУ
    • ПЕДАГОГІЧНИМ ПРАЦІВНИКАМ
      • Атестація
      • Правила внутрішнього трудового розпорядку
      • Статут
      • Колективний договір
      • Річний план підвищення кваліфікації педагогічних працівників
      • Посадові інструкції
      • Поради психолога
      • Запити на навчання
      • Охорона праці
      • План роботи
      • СТРАТЕГІЯ РОЗВИТКУ
    • БАТЬКАМ
      • Батьківські збори
      • Обовязки батьків
      • Соціальний паспорт школи
      • Графік харчування учнів початкових класів
      • Шкільне меню
      • Режим груп подовженого дня
      • Гуртки
      • Територія обслуговування
      • Порядок зарахування, відрахування та переведення учнів
      • Поради психолога
      • Батьки в освітньому процесі
    • МОНІТОРИНГ
    • УЧНІВСЬКЕ САМОВРЯДУВАННЯ
      • Структура учнівського самоврядування
      • План роботи УС
      • Наші президенти
      • Діяльність
    • Проєктна діяльність
    • МІЖНАРОДНА СПІВПРАЦЯ
    • ФІНАНСОВА ДІЯЛЬНІСТЬ
      • Благодійний рахунок
      • Наказ управління освіти ДГП ЛМР №459р від 26.09.2017р.
      • Публічні закупівлі
      • Фінансова звітність
        • Фінансова діяльність у 2026 році
        • Фінансова діяльність у 2025 році
        • Фінансова діяльність у 2024 році
        • Фінансова діяльність у 2023 році
        • Фінансова діяльність у 2022 році
        • Фінансова діяльність у 2021 році
        • Фінансова діяльність у 2020 році
        • Фінансова діяльність у 2019 році
        • Фінансова діяльність у 2018 році
        • Фінансова діяльність у 2017 році
        • Фінансова діяльність у 2016 році
        • Фінансова діяльність у 2015 році
    • Вакансії
    • КОМУНІКАЦІЯ

    Актуально

    Міністерство освіти та науки України Державна служба якості освіти України Український центр оцінювання якості освіти Львівський регіональний центр оцінювання якості освіти Львівська міська рада Освіта

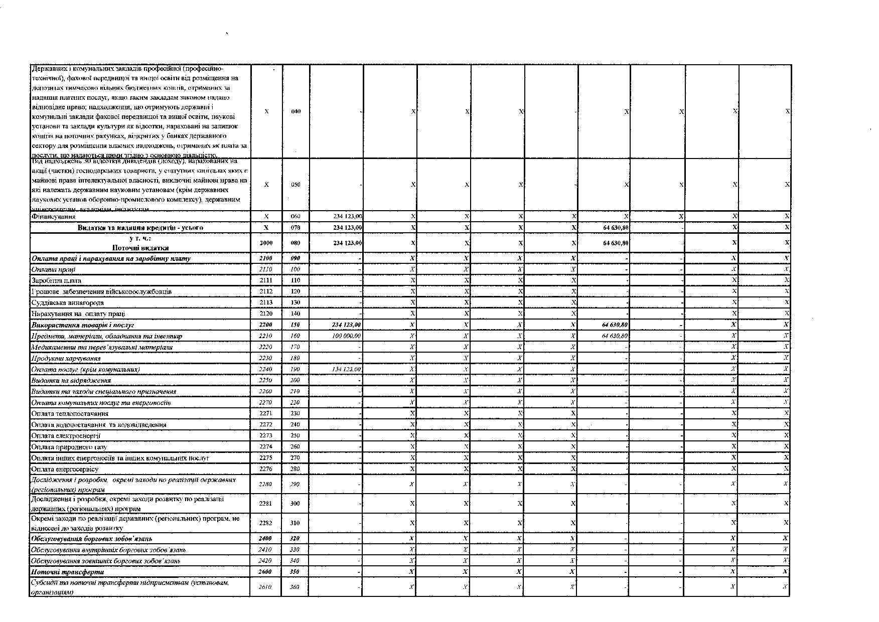
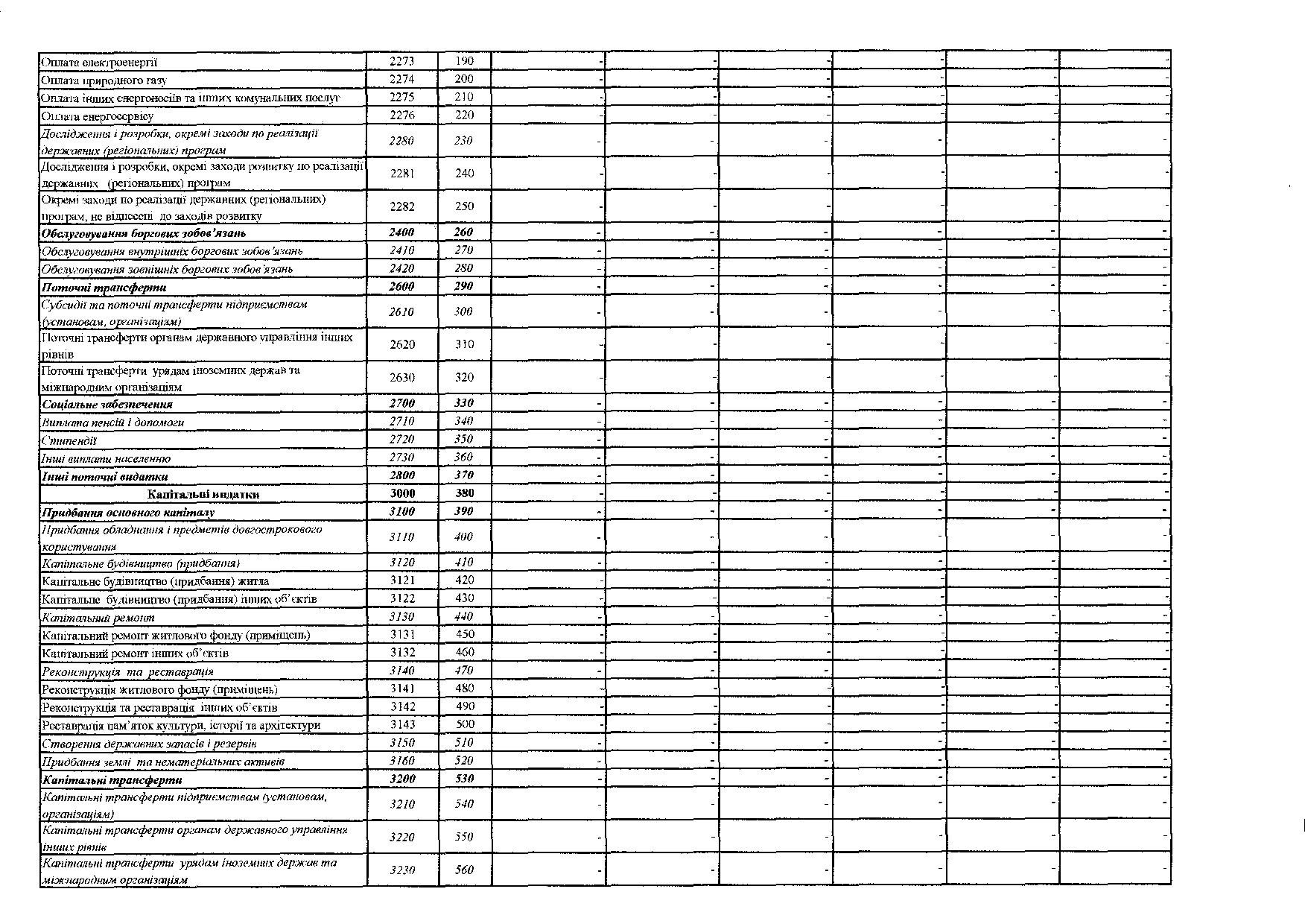
    Звітність за І квартал 2024 року

    18.04.2024

    Generic selectors
    Exact matches only
    Search in title
    Search in content
    Post Type Selectors
    calendar_today

    Календар подій

      Квітень

      Травень 2026

      Червень
      Пн
      Вт
      Ср
      Чт
      Пт
      Сб
      Нд
      27
      28
      29
      30
      1
      2
      3
      Events for 1 Травень
      Немає подій
      Events for 2 Травень
      Немає подій
      Events for 3 Травень
      Немає подій
      4
      5
      6
      7
      8
      9
      10
      Events for 4 Травень
      Немає подій
      Events for 5 Травень
      Немає подій
      Events for 6 Травень
      Немає подій
      Events for 7 Травень
      Немає подій
      Events for 8 Травень
      Немає подій
      Events for 9 Травень
      Немає подій
      Events for 10 Травень
      Немає подій
      11
      12
      13
      14
      15
      16
      17
      Events for 11 Травень
      Немає подій
      Events for 12 Травень
      Немає подій
      Events for 13 Травень
      Немає подій
      Events for 14 Травень
      Немає подій
      Events for 15 Травень
      Немає подій
      Events for 16 Травень
      Немає подій
      Events for 17 Травень
      Немає подій
      18
      19
      20
      21
      22
      23
      24
      Events for 18 Травень
      Немає подій
      Events for 19 Травень
      Немає подій
      Events for 20 Травень
      Немає подій
      Events for 21 Травень
      Немає подій
      Events for 22 Травень
      Немає подій
      Events for 23 Травень
      Немає подій
      Events for 24 Травень
      Немає подій
      25
      26
      27
      28
      29
      30
      31
      Events for 25 Травень
      Немає подій
      Events for 26 Травень
      Немає подій
      Events for 27 Травень
      Немає подій
      Events for 28 Травень
      Немає подій
      Events for 29 Травень
      Немає подій
      Events for 30 Травень
      Немає подій
      Events for 31 Травень
      Немає подій
      1
      2
      3
      4
      5
      6
      7
    archive

    Архів записів

  • Травень 2026
  • Квітень 2026
  • Березень 2026
  • Лютий 2026
  • Січень 2026
  • Грудень 2025
  • Листопад 2025
  • Жовтень 2025
  • Вересень 2025
  • Серпень 2025
  • Липень 2025
  • Червень 2025
  • Травень 2025
  • Квітень 2025
  • Березень 2025
  • Лютий 2025
  • Січень 2025
  • Грудень 2024
  • Листопад 2024
  • Жовтень 2024
  • Вересень 2024
  • Серпень 2024
  • Липень 2024
  • Червень 2024
  • Травень 2024
  • Квітень 2024
  • Березень 2024
  • Лютий 2024
  • Січень 2024
  • Грудень 2023
  • Листопад 2023
  • Жовтень 2023
  • Вересень 2023
  • Серпень 2023
  • Липень 2023
  • Червень 2023
  • Травень 2023
  • Квітень 2023
  • Березень 2023
  • Лютий 2023
  • Січень 2023
  • Грудень 2022
  • Листопад 2022
  • Жовтень 2022
  • Вересень 2022
  • Серпень 2022
  • Липень 2022
  • Червень 2022
  • Травень 2022
  • Квітень 2022
  • Березень 2022
  • Лютий 2022
  • Січень 2022
  • Жовтень 2021
  • Вересень 2021
  • Серпень 2021
  • Липень 2021
  • Травень 2021
  • Квітень 2021
  • Січень 2021
  • Жовтень 2020
  • Липень 2020
  • Травень 2020
  • Квітень 2020
  • Січень 2020
  • Жовтень 2019
  • Липень 2019
  • Травень 2019
  • Квітень 2019
  • Січень 2019
  • Жовтень 2018
  • Липень 2018
  • Травень 2018
  • Квітень 2018
  • Січень 2018
  • Жовтень 2017
  • Вересень 2017
  • Липень 2017
  • Травень 2017
  • Квітень 2017
  • Січень 2017
  • Жовтень 2016
  • Липень 2016
  • Травень 2016
  • Квітень 2016
  • Січень 2016
  • Жовтень 2015
  • Липень 2015
  • Травень 2015
  • Квітень 2015
  • Січень 2015
  • Травень 2014
  • Січень 2014
  • Травень 2013
  • Січень 2013
  • Травень 2012
  • Січень 2012
  • Травень 2011
  • Січень 2011
  • Травень 2010
  • Січень 2010
  • Травень 2009
  • Січень 2009
  • Вересень 2008
  • Травень 2008
  • Січень 2008
  • Вересень 2007
  • Травень 2007
  • Січень 2007
  • Вересень 2006
  • Травень 2006
  • up button

    Вгору

    Середня загальноосвітня школа №32 м.Львова
    Адреса:
    79031, м. Львів, вул. Я. Гашека, 13

    +38 (032) 234 53 88,  +38 (032) 234 53 95,  +38 (032) 223 26 20,  +38 (032) 223 21 89